Wildlife Wednesday
Join us Wednesdays for engaging presentations about wildlife and the dedicated professionals working to conserve them!
Wildlife Wednesday is our latest effort to educate individuals and communities about the vital importance of understanding and protecting wildlife. Through such outreach initiatives, CWS seeks to engage individuals of all ages and backgrounds in learning about local and global wildlife issues, fostering a sense of responsibility and action towards preserving the planet’s biodiversity, and promoting evidence-based conservation globally.
Read the details about our presentations below and register today!
Upcoming Presentations
-

Decoding Wildlife Behavior to Solve Conservation Challenges
Wednesday, May 13, 2026 – 5:30pm EDT
Dr. Stefanie Wilks; Biologist, Educator, & Science Communicator
Previous Presentations
-
From Influence to Impact: Conservation in Action - Session 2: Engaging Communities to Create Real Conservation Impact
Dulce Espelosin; Behavioral Change Specialist; Instructor, Center for Wildlife Studies
April 8, 2026
We’ll examine why authentic community engagement is critical for sustainable results. Discover how human-centered approaches build trust, encourage participation, and create lasting conservation impact.
Join us to begin connecting influence with action grounded in the science of how people think, decide, and act, through sessions led by Dulce Espelosin, who has been designing, implementing, and leading behavior change strategies in the field for over 15 years. She will help you translate behavioral science into practical, on-the-ground approaches that create real, lasting conservation impact.
Sign up for Dulce’s course here.
-
From Influence to Impact: Conservation in Action – Session 1: Influencing Behavior Without Losing Focus
Dulce Espelosin; Behavioral Change Specialist; Instructor, Center for Wildlife Studies
March 11, 2026
We’ll explore why understanding behavior is essential for effective conservation. Learn how insights from behavioral science help align actions with conservation goals and strengthen the impact of your efforts.
Join us to begin connecting influence with action grounded in the science of how people think, decide, and act, through sessions led by Dulce Espelosin, who has been designing, implementing, and leading behavior change strategies in the field for over 15 years. She will help you translate behavioral science into practical, on-the-ground approaches that create real, lasting conservation impact.
Looking to Learn More?
Check out Dulce’s course here.
-
Why we all need a little forestry: How understanding forests and the tools and techniques used in forestry can help conservation
Dr. Jon Martin, Instructor, Center for Wildlife Studies
February 11, 2026
The field of wildlife ecology grew from a foundation of forestry, but these disciplines have seemingly been in conflict ever since. Many issues related to the conservation of individual species or entire ecosystems can trace their roots to our interactions with forests. Overharvesting, homogenization, conversion, deforestation, and a simple lack of knowledge and differing values have caused immeasurable changes relative to the unmanaged forest systems that have been replaced. However, just like all individuals working in forestry benefit from training in wildlife issues and wildlife ecology, all terrestrial researchers and conservationists would benefit from more forestry education. This webinar will highlight how many of the tools and techniques, used every day in forestry, can be critical for other fields. Additionally, attendees will see that an understanding of how forest ecosystems work and how they are managed (both well and poorly), can help us all speak a common language, and that forestry can be an important tool for research, monitoring, restoration, and conservation.
Looking to learn more?
Check out Dr. Martin’s course on forest and habitat Measurements here.
-
Modeling and mapping species distributions: An overview of applications
Dr. Laura Jiménez, Instructor, Center for Wildlife Studies
January 14, 2026
Understanding the intricate patterns of species distribution is fundamental to effective wildlife monitoring and conservation efforts. Niche modeling and distribution modeling tools have emerged as pivotal resources for making informed decisions that promote species preservation and ecosystem health in a rapidly changing world. By bridging theoretical concepts and practical applications, this webinar will provide a broad introduction to the use of ecological niche modeling and species distribution modeling tools. Through engaging case studies, attendees will uncover how these tools have successfully contributed to biodiversity assessments and the discovery of new species and populations, helped identify critical habitats and the potential impacts of climate change on biodiversity, and guided conservation planning.
Looking to learn more?
Check out Dr. Jiménez’s course on species distribution modeling here.
-
Just coexistence? Navigating human-elephant interactions and environmental justice in Thailand
Tyler Nuckols, Instructor, Center for Wildlife Studies
December 10, 2025
Human-wildlife conflicts are rarely just ecological problems. They are manifestations of deeper inequities in who bears the costs of conservation, whose knowledge counts, and who holds decision-making power. This webinar examines how environmental justice frameworks reveal the structural inequalities embedded in human-wildlife conflicts and offers pathways toward more equitable coexistence strategies. Drawing from ongoing research with farming communities living alongside elephants in Thailand, we explore how environmental justice as a framework, methodology, and analysis tool can shift conflict mitigation from top-down management to community-led solutions that balance ecological integrity with social equity.
Looking to learn more?
Check out Tyler’s course on environmental justice in conservation here.
-
Inspiring conservation through storytelling
Justin Grubb, Instructor, Center for Wildlife Studies
November 19, 2025
Stories have the power to move people, shape perceptions, and inspire action. In this webinar, we will explore how storytelling and visual communication can strengthen conservation efforts and connect audiences to the natural world. Through examples from fieldwork and media projects, participants will learn how to convey scientific and ecological insights in ways that engage, educate, and motivate. This webinar is designed for anyone interested in using storytelling—through photography, video, or narrative—to foster awareness, inspire behavior change, and support conservation impact.
Looking to learn more?
Check out Justin’s course on multimedia conservation communication here.
-
Common Gardens: Drivers and implications of biodiversity in cities
Dr. Elsa Anderson, Instructor, Center for Wildlife Studies
October 15, 2025
Cities are critical frontiers for conservation in our modern world. Urban green spaces, including backyards, parks, vacant lots, and managed natural areas can host surprising biodiversity, and these communities are shaped not only by environmental conditions but also by social and cultural choices over time. These interacting social and ecological processes create diverse and heterogenous urban landscapes where myriad opportunities exist for building nature awareness, ecological connection, and pro-environmental behaviors.
In this presentation, Dr. Elsa Anderson explores why cities matter for global biodiversity, how human access to and connections with urban nature influence health and conservation outcomes, and what research reveals about the social drivers of biodiversity in urban landscapes. By situating cities at the crux of environmental work, Dr. Anderson argues that understanding and fostering urban biodiversity is not just an ecological concern, but also a social one essential for cultivating healthier, resilient, and sustainable futures for people and for wildlife.
Looking to Learn More?
Check out Dr. Anderson’s course on Wildlife Research in Human-dominated Landscapes here.
-
Why Sharks Matter: The science and law behind saving endangered sharks from extinction
Dr. David Shiffman, Wildlife Biologist; Instructor, Center for Wildlife Studies
September 17, 2025
Sharks are some of the most misunderstood, most ecologically important, and most threatened animals on Earth. Learn all about them, and how scientists study them, from new CWS instructor Dr. David Shiffman. This fall, he’ll be teaching a biology and ecology of sharks course that includes an optional field component, letting CWS students spend 3 days studying sharks in Florida!
Looking to Learn More?
Check out Dr. Shiffman’s course on shark ecology here.
-
From Africa to Alaska we go: Strategies for estimating wildlife abundance and distribution by land, air, and sea.
Dr. Paul Schuette, Wildlife Ecologist and Instructor, Center for Wildlife Studies
August 20, 2025
The number of methods available to reliably estimate wildlife abundance and distribution has grown dramatically over the past 20 years. So, how do you choose which method and sampling design to use for your particular species, in your particular ecosystem of interest, in a manner that best meets your management and conservation goals? In this talk, I will definitively not provide you with a clearcut answer to this question (that’s up to you!), but I will walk you through the strategies I have used when confronted with this question while focused on wildlife populations ranging from the grassy savannas and miombo woodlands of eastern and southern Africa to the alpine tundra and chilly, coastal waters of Alaska.
Despite strikingly different climates and modes of travel – by land, air, and sea – I find that by relying on the basic principles of ecology and applied quantitative ecology methods, we wildlife ecologists can accomplish a lot more than we ever imagined possible, particularly if we have an amazing set of partners from agencies, NGOs, Tribes, and universities to work with along the way. This presentation will share my story of field-based research and conservation education programs ranging from Africa to Alaska, including my recent efforts with the Center for Wildlife Studies to make research and conservation training opportunities more readily available at the global scale.
Looking to learn more?
Check out Dr. Schuette’s course on Distance Sampling here.
-
EAGLE EYE VIEW: Geospatial Analysis with Google Earth Engine
Dr. Luke McDonald, Instructor, Center for Wildlife Studies
August 13, 2025
In the era of big data, access to large-scale geospatial data can be a powerful tool for connecting field-based data with remotely sensed datasets. Google Earth Engine (GEE) is one platform for managing worldwide scale datasets. Using GEE with Python allows us to create programs that can document the entire process of data acquisition, data transformation, and model development in one programming language.
Join us to learn how GEE and Python can be used in conjunction to download, transform, describe, and map remotely sensed datasets for biostatistics. Dr. Luke McDonald will discuss how research biologists at CWS and Wrangle-St. Elias National Park in Alaska used these advanced tools with the Dynamic World dataset to explore bald eagle foraging conditions and draw inferences on eagle nest productivity.
Looking to Learn More?
Check out Dr. McDonald’s course on Geospatial Analysis with Google Earth Engine here.
-
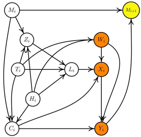
Bayesian Causal Networks in Conservation and Management
Dr. Mira Mishkin, Environmental Geographer; Instructor, Center for Wildlife Studies.
August 6, 2025
In this Wildlife Wednesday presentation, Dr. Mira Mishkin will explore the power of Bayesian Networks in understanding complex systems. Discover how these cutting-edge tools help uncover hidden connections between variables, predict outcomes, and guide informed decision-making—essential for managing wildlife and environmental data.
Learn how Bayesian Causal Networks (BCNs) integrate both qualitative and quantitative data to offer a dynamic, adaptable approach for monitoring and intervening in complex ecosystems. Whether you're working on wildlife conservation or environmental management, BCNs provide valuable insights that can transform the way we understand and manage natural systems. We will touch on a powerful case study using BCNs in the Monarch Butterfly Biosphere Reserve.
Don't miss this opportunity to see how Bayesian Networks are shaping the future of research and management!
Looking to Learn More?
Check out Dr. Mishkin’s course on Bayesian Causal Networks here.
-
What do conservation planners do and is the job right for me?
John Morrison, Director of Conservation Planning and Measures at the World Wildlife Fund
Dr. Quinn Shurtliff, certified conservation coach, and founder of NaturePlan
July 30, 2025
Are you passionate about making a real impact for nature?
Join us for a special edition of Wildlife Wednesday as we bring together two leading voices in global conservation planning.
John Morrison, director of Conservation Planning and Measures at the World Wildlife Fund, and Dr. Quinn Shurtliff, certified conservation coach and founder of NaturePlan, will introduce a practical, globally recognized framework that’s helping teams around the world plan smarter, collaborate better, and achieve real outcomes for nature.
—Whether you're new to conservation or looking to advance your career, this session will offer valuable insights into:
—What it’s really like to work in conservation planning
—The tools and strategies professionals use to create measurable impact
—How to get started with training such as our Intro to Conservation Standards course, taught by Dr. Shurtliff
—Pathways toward earning your Conservation Planning Professional Certificate
Looking to learn more?
Check out Dr. Shurtliff’s course on the Conservation Standards here.
-
OF MICE AND MUSEUMS: Using Natural History Collections to Understand the Diversity and Distribution of the North American Deer Mouse.
Dr. Natalie Hamilton, Postdoctoral Researcher, UA Fairbanks-Museum of the North
April 9, 2025
Genetic and geographic population structure are crucial for wildlife conservation by providing insight into the health, diversity, and sustainability of species. Few resources have been more important for describing species’ distributions and distinguishing among often cryptic species classification than museum archives. As powerful tools like population genomics and 3D imaging are refined, museum collections are contributing to our understanding of the natural world, and the threats to it, in new and unforeseen ways.
Join us to learn about how archived collections are helping to reveal the species limits and geographic structure of the North American Deer Mouse species complex. Dr. Hamilton will present on her collaborative research program and how their results are advancing our understanding of topics ranging from evolutionary processes to zoonotic disease transmission.
-
GRIZZLY BEAR BEHAVIOR IN SOUTHCENTRAL ALASKA: Use of a Hidden Markov Model to Assess Environmental and Anthropogenic Variables on Behavior
Amanda Mumford, Research Biologist, WEST
March 12, 2025
Understanding wildlife population dynamics and implementing management practices can benefit from understanding animal behavioral patterns and traits. In Alaska, USA, grizzly bear (Ursus arctos) behavior is important to understand because the species is an apex predator, exerts top-down population effects, and is a cornerstone species across complex landscapes. Using GPS location data and cutting-edge behavioral models, we can now infer animal decisions and attempt to explain them in terms of resource availability, human stressors, and other important factors. It’s a new take on a classic question: why did the bear cross the road?
Join us to learn about how these exciting new tools can help us understand the lives and needs of grizzly bears in a heavily hunted population.
-
Grizzly bear population dynamics in central Alaska using DNA-based capture-mark-recapture techniques
Dr. Jeff Stetz, Director of Science, Center for Wildlife Studies
August 14, 2024
Dr. Jeff Stetz will discuss ongoing collaborative research on grizzly bear demographics in central Alaska using noninvasive genetic sampling methods in conjunction with spatial capture-mark-recapture models. He argues that adopting contemporary methods like these will ultimately improve our understanding of bear ecology and population dynamics, thereby providing more defensible inferences that should lead to better management of these important populations. He will also highlight how research partnerships among federal, state, academic, tribal, and non-profit organizations can lead to win-wins for these agencies and the wildlife they manage.
Looking to learn more?
Check out Dr. Stetz’s course of mark-recapture here.

